7ns1b×Description:
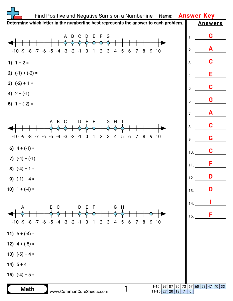
"This worksheet is designed to enhance children's math skills, focusing on the concept of number lines and calculating distance. It includes 12 numerical problems that ask learners to start at a specific point and add or subtract a number. Perfect for distance learning, the customizable worksheet can be converted into flashcards for more interactive and engaging learning."
×Student Goals: Understanding Number LinesUpon completion of this worksheet, students should have a robust understanding of number lines and how to use them to show distance. They should be able to plot positive and negative numbers on a number line accurately. Grasping the concept of number lines is fundamental in mathematical knowledge, as it forms the groundwork for understanding more complex topics in calculus and other higher-level mathematics courses.Understanding Negative NumbersThe students will gain a good understanding of negative numbers. Negative numbers are part of everyday life, and understanding how to add and subtract them is paramount. Students should be able to differentiate and understand that negative numbers are less than zero and are represented on the left side of the number line. By repeatedly working with number-line problems involving negative numbers, students can confidently master this concept.Enhanced Problem Solving SkillsCompleting this worksheet will enhance the problem-solving skills of the students. Mathematical problem-solving forms part of critical thinking. The ability to start at a number and add or subtract another number hones their skills in logical thinking, decision making, and strategic planning making them more effective problem solvers.Improved Mental Arithmetic SkillsStudents will improve their mental arithmetic skills through the completion of this worksheet. The ability to quickly and correctly add and subtract numbers mentally is a skill that improves with practice and will be useful in many aspects of life beyond math class. By chaining together multiple problem sets, students will improve their ability to perform mental sums more accurately.Fluency with Addition and Subtraction on a Number LineStudents will become fluent in utilizing a number line for addition and subtraction. The ability to accurately and quickly perform these operations is a fundamental arithmetic skill, and this worksheet provides the necessary repetitive practice to help students become fluent in these skills. The exercises in this worksheet, if completed successfully, should help students to internalize the process and gain speed when performing these operations in the future.